生物发酵的甜蜜蜜天然来源温和清洁成分——德国赢创RHEANCE® One糖脂

2022-08-24



图片

   最近全国各地有不少地方都在忍受38℃甚至40℃的酷暑。以前听到冰川消融、海平面升高,极地生态系统日渐失衡感觉好像离我们很遥远;但是每年的夏天都在变得更加热,全球加速变暖这是我们能感受到的。绿色环保、减排、环境友好这些词需要我们付诸行动,作为个人护理开发方,可以通过选择天然来源、绿色环保、环境友好的个护原料让地球变暖来得慢一点。

图片



德国赢创RHEANCE® One糖脂通过生物发酵生产,制造过程绿色,还具有可冷配、活性物含量高的特点,可减少运输和生产过程的排放,是环境友好的个护原料,兼具温和、愉悦的洗感等优点,来看看市场应用案例


图片


LAN·蘭平衡净澈洁肤乳



图片


RENE FURTERER 馥绿德雅TONUCIA强韧活力洗发露


图片

袋鼠妈妈婴儿舒润泡泡洗发沐浴露






*1
甜蜜蜜的来源/组成/全天然组分

图片

     RHEANCE® One是由糖通过独特的生物技术发酵工艺制得,生产过程绿色;原料是完全可再生的,非棕榈油来源;天然来源指数为1;发酵所得产物与自然界存在的生物分子结构一致,可完全可生物降解,并且几乎无水生毒性。


图片

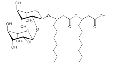
RHEANCE® One的纯酸性形态 (非离子型)


     RHEANCE® One的INCI名为糖脂,活性物含量约50%,由上图化学结构可见RHEANCE® One不含PEG和硫酸盐基团,可用于无硫酸盐体系。

图片

*2
口腔护理级温和

      RBC TEST红血球细胞测试是常用的体外刺激性评估测试,这是基于表面活性剂的刺激性会对细胞膜和蛋白质产生影响,评价对细胞膜损伤(溶血)指标为H50,即当50%的红细胞膜被破坏的时候表面活性剂的添加量。数值越低刺激性越大;评价对细胞内蛋白质变性的指标为DI %变性指数,当到达H50的时候测试红细胞蛋白的变性比例,数字越小化学物质越温和;

L/D值即H50/DI比值,作为评判刺激性的分值参考,评判标准:

L/D值 > 100 non irritant无刺激 

L/D值 > 10 lightly irritant轻微刺激 

L/D值 > 1 moderately irritant中等刺激 

L/D值 > 0.1 irritant刺激

L/D值数值越大越温和


图片

     从测试图表中可见,RHEANCE® One的L/D值达到1000,比常见的温和表面活性剂如月桂酰谷氨酸钠、CAB、APG的温和性还更优秀。


      皮肤相容性测试(体外法)一般使用玉米醇蛋白测试,玉米醇蛋白(zein)是一种几乎不溶于水的蛋白质,zein (玉米醇溶蛋白) 若受表面活性剂作用产生变性, 会使其水溶性将加大,变性溶解的蛋白质代表了皮肤可能受到的刺激性(比如表皮肿胀),测试的zein溶解度越高,代表表面活性剂越刺激。

图片

      从测试图表中可见,RHEANCE® One在高浓度条件下玉米醇溶蛋白的变性率依然在较低水平,说明RHEANCE® One对皮肤/粘膜非常温和,温和程度达到口腔护理产品级别,可用于漱口水、牙膏等产品中。


痘痘肌人群试用体验:

图片

      痘痘肌测试志愿者在使用过程中及使用以后,未见任何可感知的副作用(如瘙痒、灼烧、泛红等),参与测试的志愿者一致认为RHEANCE® One可深层清洁肌肤,且非常温和。

*3
令人愉悦的肤感

      清洁产品最大一部分的体验来自于泡沫,快速起泡,丰富绵密,细腻持久的泡沫能为清洁产品带来愉悦的体验。

图片

     RHEANCE® One具有发泡速度快和泡沫量大的特点,相对于AES有更高发泡速度和更大的泡沫量,RHEANCE® One为丰富泡沫增加了绿色新选项。


图片

     从泡沫结构来看,RHEANCE® One与SLES及CAPB对比泡沫更为细密,并且稳定性高,10分钟后依然保持较为细密的泡沫结构,长时间的泡沫稳定在糖脂的加持下更加容易实现。


图片


小结:RHEANCE® One可提供高发泡性的同时,还可提供绵密的泡沫结构,并且在硬水中也有杰出的发泡性能。


*4
应用推荐
  • 洁面产品:胶束水、凝胶、泡沫、爽肤水、湿巾、微乳体系


  • 口腔护理产品:漱口水、牙膏


  • 婴儿清洁产品:温和婴儿香波、清洁湿巾

图片
图片
图片

END

如有样品或资料需求,可与合孚销售联系


图片
图片

广州合孚化工科技

匠心专注个护日化原料

轻松贴心一站式开发服务


来源:

浏览量:3586

分享到:
63.7K
© 2025 广州合孚化工科技有限公司 All Rights Reserved 粤ICP备18065993号-1